用人工智能可以让心电图衍生出很多想不到的功能,比如可以通过心电图来判断年龄和性别,预测窦性心律个体的房颤发生风险,是否有瓣膜病,射血分数是否下降以及预测未来的死亡率。今天的2024有源医疗器械创新论坛Medtec就来回顾一下这些被人工智能赋予心电图的6大特异功能。
一、识别性别
看J点抬高和ST段角度可以推算这份心电图出自男性还是女性。如果胸前导联J点抬高>0.1mV 和ST段角度>20°这份心电图基本就是男性模式,反之为女性模式。

上图通过V3导联来测量上述参数的范例。画两条水平线,分别代表Q-Q线和在J点水平与Q-Q线平行的平行线,箭头标记为 J 点;短垂直线标记 J 点后 60 毫秒的点;将 J 点与上述点连接成斜线。(A)女性模式:J点与Q-Q线在同一水平,ST角度为19°。(B)男性模式:J 点在 Q-Q 线上方 >0.1 mV,ST 角度为 36°。(C)变异的男性模式,T波上升起于 J 点;J 点在 Q-Q 线上方 >0.1 mV,在 J 点水平与 Q-Q 线的平行线与 T 波上升的夹角为 29°。(D)不确定模式:J 点在 Q-Q 线上方 >0.1 mV,ST 角度为 15°。
二、判断年龄
Zachi等用卷积神经网络(CNN)对499727例患者的每10秒种12导心电图信号进行了预测年龄的研究。对275056例患者进行了网络测试,随机选择100名患者(按每10年分节段)用多份心电图测试CNN评估的准确性。
年龄预测的均误差为6.9±5.6年。随机的100例患者的年龄至少跨越20岁范围,大多数患者(51%)在实际年龄和CNN预测年龄之间的平均误差小于7岁。在CNN预测年龄超过真实年龄7岁的患者中,主要有以下影响因素:左室射血分数低、高血压和冠心病(p<0.01)。有27%的患者CNN预测年龄与真实年龄相关性大于0.8,在随访期间(33±12年)未发生事件。

2024有源医疗器械创新论坛Medtec不仅汇集全球企业,提供产品研发、生产、注册所需的设计及软件服务、原材料、精密部件、自动化制造设备、超精加工技术、合同制造、测试和认证、政策法规和市场咨询服务,同时展会现场还有十数场专业会议,议题涵盖医疗器械的研发设计、高端有源医疗器械的最新技术、光电部件在医疗中的应用、国内外法律法规、市场投融资情报分析等。报名参观即可与行业大咖近距离会面,机不可失!点击此处报名预登记>>>
三、预测房颤
还是梅奥诊所发明的一种用于识别窦性心律期间心房颤动患者的人工智能心电图算法。研究对180922例患者649931份正常窦性心律的心电图进行分析:126526 名患者的454789份心电图也训练组,18116 名患者的 64340 份心电图为内部验证组, 36280 名患者的 130802 份心电图为测试组。

测试组中有 3051 名 (8·4%) 患者通过模型测试验证了正常窦性心律心电图前发生了心房颤动。单个 AI 支持心电图识别心房颤动的AUC 为 0.87,敏感性 79·0% ,特异性为 79·5% , 总体准确率为79.4%。
四、检测瓣膜病
Pierre Elias等开发的心电图深度学习算法,单独或联合识别中/重度主动脉瓣狭窄、主动脉瓣关闭不全和二尖瓣关闭不全。
共有 77163 名在超声心动图前 1 年内接受心电图的患者被识别出来,并将其分为训练组 、验证组和测试组。

深度学习算法模型准确率(AU-ROC)如下:主动脉瓣狭窄 0.88、主动脉瓣关闭不全 0.77、二尖瓣关闭不全 0.83) 。

五、检测射血分数降低
2024有源医疗器械创新论坛Medtec获悉,梅奥的Friedman 采用了 44959 名患者的 12 导联心电图和超声心动图配对的数据,包括左心室射血分数。训练了一个卷积神经网络仅用心电图数据来识别心室功能不全(定义为射血分数 ≤35%)。当对一组独立的 52870 名患者进行测试时,网络模型得出的曲线下面积、灵敏度、特异性和准确性值分别为 0.93、86.3%、85.7% 和 85.7%。在没有心室功能障碍的患者中,与筛查阴性的患者相比,AI 筛查阳性的患者未来发生心室功能障碍的风险是阴性患者 4 倍。

斯坦福大学John Weston Hughes教授还建立了一个自动心电图测量的简单模型,该模型基于5个自动测量的线性模型,其性能仅略低于深度学习,但优于NT-proBNP。

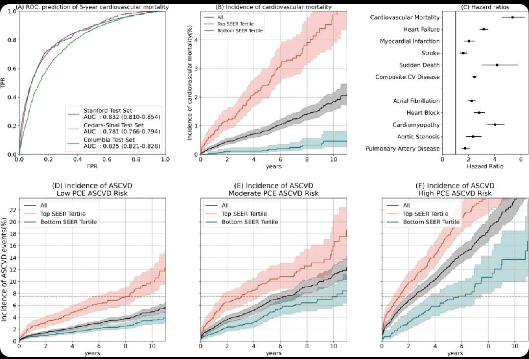
六、预测未来死亡率
Weston Hughes等仅基于静息心电图,通过深度卷积神经网络来准确预测心血管死亡和疾病的长期风险。该模型称之为SEER,即斯坦福心电图风险估计器。
在斯坦福大学的一项保留测试中,SEER 预测 5 年心血管死亡率,受试者操作员特征曲线下面积 (AUC) 为 0.83,在 西达塞奈医学中心和哥伦比亚大学欧文医学中心独立评估时,AUC 分别为 0.78 和 0.83。SEER 预测 5 年动脉粥样硬化疾病的 AUC 为 0.67。

当与汇总队列方程式结合使用时,SEER 准确地将16%的患者从低风险组重新分类到中等风险组,SEER还可以预测其他几种心血管疾病,例如心衰和房颤。仅使用心电图的I导联,就可预测5年心血管死亡率,AUC为 0.80。
文章来源:CCI心血管医生创新俱乐部